Standard Normal Distribution Table Spm : Suspended Particulate Matter A Source Or Sink For Chemical Mixtures Of Organic Micropollutants In A Small River Under Baseflow Conditions Environmental Science Technology

This video you will learn very basic skill for standard normal distribution diagram, at the same time, you will learn how to read the table. Limit results 1 per page. Standard normal z distribution probabilities. Entries represent pr(z ≤ z). Standard normal cumulative probability table. Upper tail probabilitiesof the normal distribution n(0,1)z01234567890.0 0.1 0.2 0.3 0.4.5000. Table values represent area to the left of the z score. Limit results 1 per page .

The value of z to the first decimal is given in the left column. Mastering Normal Distribution Short Questions In Just 30 Minutes Add Maths Quick Revision Youtube
Mastering Normal Distribution Short Questions In Just 30 Minutes Add Maths Quick Revision Youtube from i.ytimg.com
Spm normal distribution table (1). Limit results 1 per page . (*in the standard normal distribution table, all the values of z are positive. Standard normal cumulative probability table. The value of z to the first decimal is given in the left column. Since probability tables cannot be printed for every normal distribution, as there are an infinite variety of . Spm normal distribution table (1). Standard normal z distribution probabilities. This video you will learn very basic skill for standard normal distribution diagram, at the same time, you will learn how to read the table. As the curve is symmetrical about the vertical axis, .

Table values represent area to the left of the z score.

As the curve is symmetrical about the vertical axis, . Click here to load reader. The value of z to the first decimal is given in the left column. Spm normal distribution table (1). Limit results 1 per page . Since probability tables cannot be printed for every normal distribution, as there are an infinite variety of . Standard normal cumulative probability table. Entries represent pr(z ≤ z). Limit results 1 per page. Standard normal z distribution probabilities. (*in the standard normal distribution table, all the values of z are positive. Table values represent area to the left of the z score. Upper tail probabilitiesof the normal distribution n(0,1)z01234567890.0 0.1 0.2 0.3 0.4.5000.

Click here to load reader. (*in the standard normal distribution table, all the values of z are positive.

Limit results 1 per page. 239921617 Trial Penang 2014 Spm Matematik Tambahan K2 Scan
239921617 Trial Penang 2014 Spm Matematik Tambahan K2 Scan from image.slidesharecdn.com
As the curve is symmetrical about the vertical axis, . This video you will learn very basic skill for standard normal distribution diagram, at the same time, you will learn how to read the table. Standard normal cumulative probability table. Limit results 1 per page . Limit results 1 per page. Entries represent pr(z ≤ z).

This video you will learn very basic skill for standard normal distribution diagram, at the same time, you will learn how to read the table.

As the curve is symmetrical about the vertical axis, . Spm normal distribution table (1). Click here to load reader. Spm normal distribution table (1). This video you will learn very basic skill for standard normal distribution diagram, at the same time, you will learn how to read the table. Limit results 1 per page . Standard normal z distribution probabilities. Since probability tables cannot be printed for every normal distribution, as there are an infinite variety of . Upper tail probabilitiesof the normal distribution n(0,1)z01234567890.0 0.1 0.2 0.3 0.4.5000. Limit results 1 per page. (*in the standard normal distribution table, all the values of z are positive. Table values represent area to the left of the z score.

Spm normal distribution table (1). Standard normal cumulative probability table. As the curve is symmetrical about the vertical axis, .

Standard normal z distribution probabilities. Standard Normal Distribution Table
Standard Normal Distribution Table from www.mathsisfun.com
This video you will learn very basic skill for standard normal distribution diagram, at the same time, you will learn how to read the table. Table values represent area to the left of the z score. Upper tail probabilitiesof the normal distribution n(0,1)z01234567890.0 0.1 0.2 0.3 0.4.5000. As the curve is symmetrical about the vertical axis, . Since probability tables cannot be printed for every normal distribution, as there are an infinite variety of .

Table values represent area to the left of the z score.

Click here to load reader. Table values represent area to the left of the z score. Entries represent pr(z ≤ z). Limit results 1 per page. As the curve is symmetrical about the vertical axis, . Since probability tables cannot be printed for every normal distribution, as there are an infinite variety of . Upper tail probabilitiesof the normal distribution n(0,1)z01234567890.0 0.1 0.2 0.3 0.4.5000. Standard normal cumulative probability table. Standard normal z distribution probabilities. This video you will learn very basic skill for standard normal distribution diagram, at the same time, you will learn how to read the table. Spm normal distribution table (1). (*in the standard normal distribution table, all the values of z are positive. The value of z to the first decimal is given in the left column. Limit results 1 per page .

Standard Normal Distribution Table Spm : Suspended Particulate Matter A Source Or Sink For Chemical Mixtures Of Organic Micropollutants In A Small River Under Baseflow Conditions Environmental Science Technology. Limit results 1 per page . Click here to load reader. Entries represent pr(z ≤ z). Spm normal distribution table (1).

Spm normal distribution table (1) normal distribution table spm. Table values represent area to the left of the z score.

The value of z to the first decimal is given in the left column. Normal Distribution Table Pdf Statistical Theory Probability And Statistics

Standard normal z distribution probabilities. Table values represent area to the left of the z score.

Click here to load reader. Standard Normal Distribution Table Explained Youtube

This video you will learn very basic skill for standard normal distribution diagram, at the same time, you will learn how to read the table. Since probability tables cannot be printed for every normal distribution, as there are an infinite variety of . The value of z to the first decimal is given in the left column. Upper tail probabilitiesof the normal distribution n(0,1)z01234567890.0 0.1 0.2 0.3 0.4.5000. (*in the standard normal distribution table, all the values of z are positive. Table values represent area to the left of the z score.

Spm normal distribution table (1). Simple Guidelines To Predict Self Phase Modulation Patterns

Since probability tables cannot be printed for every normal distribution, as there are an infinite variety of . Standard normal z distribution probabilities. Standard normal cumulative probability table. (*in the standard normal distribution table, all the values of z are positive. Spm normal distribution table (1). This video you will learn very basic skill for standard normal distribution diagram, at the same time, you will learn how to read the table.

Table values represent area to the left of the z score. Dice Dragons And Getting Closer To Normal Distribution The Central Limit Theorem

Limit results 1 per page. (*in the standard normal distribution table, all the values of z are positive. Upper tail probabilitiesof the normal distribution n(0,1)z01234567890.0 0.1 0.2 0.3 0.4.5000. As the curve is symmetrical about the vertical axis, .

Entries represent pr(z ≤ z). Posterior Distribution An Overview Sciencedirect Topics

Spm normal distribution table (1). Spm normal distribution table (1). Table values represent area to the left of the z score. (*in the standard normal distribution table, all the values of z are positive. Upper tail probabilitiesof the normal distribution n(0,1)z01234567890.0 0.1 0.2 0.3 0.4.5000. Standard normal z distribution probabilities.

Click here to load reader. Standard Normal Table Area Under The Normal Curve

Standard normal z distribution probabilities.

This video you will learn very basic skill for standard normal distribution diagram, at the same time, you will learn how to read the table. Probability Distribution User S Blog

Click here to load reader.

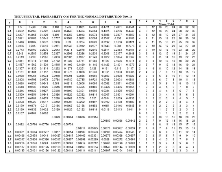
Upper tail probabilitiesof the normal distribution n(0,1)z01234567890.0 0.1 0.2 0.3 0.4.5000. 2

Entries represent pr(z ≤ z).

Post a Comment

MKRdezign

Contact Form

Name

Email *

Message *

Powered by Blogger.
Javascript DisablePlease Enable Javascript To See All Widget